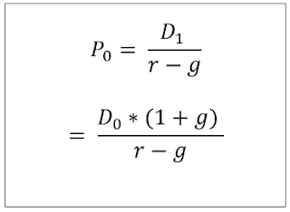
먼저, 전통적인 DDM ( Dividen Discount Model) 에서는
주식의 가격이 다음과 같습니다.
미래 배당의 현재가치가 주가로 나타납니다.
또한 미래의 배당은
현재 배당 * 성장률 으로도 나타납니다.
여기서 가장 중요한 것이
성장률인 g 입니다.
TEXTBOOK 에서는 심플하게
성장률을 ROE * 유보율로 가정합니다.
사내유보율이 높을 수록
기업의 성장률은 높다는 가정입니다.
사내유보율은 (1-배당성향) 으로 나타납니다.
이러한 g 를 위의 식에 대입하면
다음과 같이 나타납니다.
즉, Price 는
배당과는 정비례 관계이며,
배당성향과는 반비례 관계입니다.
이를 return (r) 에 관해 정리하면
아래와 같습니다.
즉 Return 역시
배당수익률과 정비례 관계이며,
배당성향과는 반비례 관계입니다.
-------------
배당수익률 & 배당성향과 수익률간의 관계를
백테스트 해봅니다.
유니버스는 거래소 전 종목중
테스트 시점 시가총액 기준 상위 30% 로 설정합니다.
1,2,3 월은 회계데이터 래깅을 고려하여
t-2 년도 데이터를 사용합니다.
먼저, 단순한 배당수익률 간의 차이입니다.
|
1st
|
2nd
|
3rd
|
4th
|
5th
| |
|
Cum Ret
|
6.1045
|
4.0685
|
1.9699
|
0.3814
|
-0.6974
|
|
Ann Ret
|
0.1229
|
0.1007
|
0.0665
|
0.0193
|
-0.0682
|
|
Ann Std
|
0.2534
|
0.2354
|
0.2595
|
0.2731
|
0.3028
|
|
Sharpe
|
0.4850
|
0.4277
|
0.2561
|
0.0706
|
-0.2253
|
|
Sortino
|
0.2806
|
0.2434
|
0.1667
|
0.0863
|
-0.0316
|
|
MDD
|
0.5016
|
0.5207
|
0.5618
|
0.6815
|
0.8299
|
|
DD Std
|
0.0597
|
0.0554
|
0.0587
|
0.0667
|
0.0593
|
배당수익률과 수익률이 정확히 비례함을 알 수 있습니다.
-------------
이번에는 배당수익률과 배당성향을 함께 고려해줍니다.
먼저, 배당수익률에 따라 3분위로 나누어줍니다.
( High Yield / Middle Yield / Low Yield )
그 후, 각 배당수익률 분위수에서
배당성향에 따라 다시 3분위로 나누어 줍니다.
( High Payout / Middle Payout / Low Payout )
결과적으로, 배당수익률과 배당수익률에 따라
9개의 포트폴리오가 구성됩니다.
[Low Yield & Low Payout], [Low Yield & Middle Payout], [Low Yield & High Payout]
[Middle Yield & Low Payout], [Middle Yield & Middle Payout], [Middle Yield & High Payout]
[High Yield & Low Payout], [High Yield & Middle Payout], [High Yield & High Payout]
도식화 하면 다음과 같습니다.
이론적으로는
High Yield & Low Payout 의 성과가 가장 좋아야하며,
Low Yield & High Payout 의 성과가 가장 나빠야 합니다.
![]() |
| 배당수익률 & 배당성향: Normal Graph |
![]() |
| 배당수익률 & 배당성향: Log Graph |
노란색 그래프가 [High Yield & Low Payout ] 이며,
녹색 그래프가 [Low Yield & High Payout] 입니다.
이론과 마찬가지로 각각 최고 / 최저 수익률을 기록합니다.
|
Low Yield
| |||
|
|
Low Yield &
Low
Payout
|
Low Yield &
Middle Payout |
Low Yield &
High Payout |
|
Cum Ret
|
0.4261
|
-0.6951
|
-0.7512
|
|
Ann Ret
|
0.0212
|
-0.0678
|
-0.0789
|
|
Ann Std
|
0.2739
|
0.3091
|
0.3198
|
|
Sharpe
|
0.0774
|
-0.2193
|
-0.2468
|
|
Sortino
|
0.0924
|
-0.0283
|
-0.0374
|
|
MDD
|
0.5839
|
0.8695
|
0.8822
|
|
DD Std
|
0.0698
|
0.0616
|
0.0619
|
|
| |||
|
Middle Yield
| |||
|
Middle Yield &
Low Payout |
Middle Yield &
Middle Payout |
Middle Yield &
High Payout | |
|
Cum Ret
|
3.0239
|
2.2941
|
0.7196
|
|
Ann Ret
|
0.0858
|
0.0730
|
0.0326
|
|
Ann Std
|
0.2592
|
0.2518
|
0.2770
|
|
Sharpe
|
0.3309
|
0.2900
|
0.1176
|
|
Sortino
|
0.2056
|
0.1798
|
0.1095
|
|
MDD
|
0.5415
|
0.4837
|
0.6394
|
|
DD Std
|
0.0649
|
0.0565
|
0.0609
|
|
High Yield
| |||
|
High Yield &
Low Payout |
High Yield &
Middle Payout |
High Yield &
High Payout | |
|
Cum Ret
|
11.3689
|
5.7517
|
1.8559
|
|
Ann Ret
|
0.1603
|
0.1195
|
0.0640
|
|
Ann Std
|
0.2725
|
0.2415
|
0.2200
|
|
Sharpe
|
0.5882
|
0.4949
|
0.2909
|
|
Sortino
|
0.3328
|
0.2775
|
0.1748
|
|
MDD
|
0.5751
|
0.4892
|
0.4568
|
|
DD Std
|
0.0621
|
0.0572
|
0.0547
|
먼저 배당수익률을 기준으로 보았을 때,
배당수익률이 높을수록 성과가 좋습니다.
또한, 배당수익률 그룹 내에서도
배당성향이 낮을수록 성과가 좋습니다.
배당성향이 낮을수록 성과가 좋습니다.










댓글 없음:
댓글 쓰기